首页
学院概况
专业设置
新闻动态
通知公告
党建工作
教学科研
学生工作
就业指导
信院榜样
李娟工作室
学生作品
当前位置:
首页
>
学生作品
>
正文
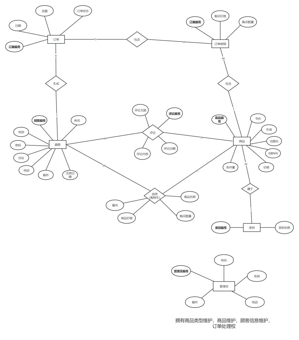
数据库应用技术《网上书城后台数据库设计》--22计应2班阮云焕
【来源: | 发布日期:2023-07-12 】
数据库应用技术---《网上书城后台数据库设计》
22计应2班阮云焕
指导老师:刘佳兵
E-R图
表结构
建表
外键
插入数据